Теория телетрафика
Экзаменационный тест.
Определить необходимое число линий в полно доступном однозвенном включении при условии , что параметр потока λ=180 выз/ч, а среднее время обслуживания одного вызова h=60 с.Потери не должны превышать 2,0 %.
2,0 %=0,02
180*60/3600=3
0,0081
Ответы 8
На ПД пучок из 12 линий поступает простейший поток вызовов с параметром
λ = 320 выз/час. Время обслуживания распределено по показательному закону со средним значением h = 90с. Определить долю вызовов, задержанных свыше допустимого времени P(γ>t), tд = 0,5 у.е.в.
320*90/3600=8
Ответы 0,15
Для чего используется формула

Ответы
1. для определения среднего времени ожидания по отношению ко всем вызовам
2. для определения средней длины очереди
3. для определения доли задержанных вызовов
Какой поток вызовов называется примитивным
Ответы
1. нестационарный ординарный поток с последействием
2. стационарный ординарный поток без последействия
3. стационарный ординарный поток с последействием
4. случайный ординарный поток вызовов параметр, которого
![]()
прямо пропорционален числу свободных источников нагрузки в данный момент времени
Что означает понятие «поток с последействием»
Ответы
1. неизменность вероятностных характеристик потока во времени
2. зависимость вероятностных характеристик потока вызовов от предыдущих событий
3. независимость вероятностных характеристик потока вызовов от предыдущих событий
Какие показатели используются для количественной оценки качества обслуживания систем с ожиданием?
Ответы
1. вероятность потери вызова P = Ev (у)
2. вероятность
![]()
3. вероятность задержки вызова P(γ > 0)
Выберете математическую модель системы с ожиданием, обслуживающую простейший поток вызовов
Ответы
1.
2.
![]()
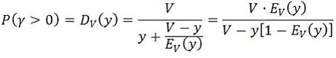
Что показывает формула

Ответы
1. вероятность задержки вызова в системе с повторными вызовами
2. вероятность потери вызова системе с явными потерями
3. вероятность задержки вызова в системе с ожиданием
Что называется системой с ожиданием?
Ответы
1. система, в которой часть поступивших вызовов при отсутствии свободных выходов, ставится в очередь на ожидание
2. система, в которой поступившие вызовы при отсутствии свободных выходов, ставятся в очередь на ожидание
3. система, в которой поступившие вызовы , ставятся в очередь на ожидание
Занятие –это
Ответы
1. требование источника на установление соединения
2. любое использование прибора или линии с целью установления соединения
3. форма представления информации, имеющая признаки начала и конца
Что обозначает запись -
![]()
Ответы
1. схему, на которую поступает поток вызовов с произвольной функцией распределения промежутков между вызовами и показательной функцией распределения длительности обслуживания
2. схему, имеющую V выходов, на которую поступает поток вызовов с показательной функцией распределения промежутков между вызовами и показательной функцией распределения длительности обслуживания
3. схему, имеющую V мест ожидания , на которую поступает поток вызовов с показательной функцией распределения промежутков между вызовами и показательной функцией распределения длительности обслуживания
В каких единицах измеряется интенсивность телефонной нагрузки
Ответы
1. часо-занятие
2. 1 Эрл
3. часо-занятие в минуту
4. 1 промилле
Требование источника на установление соединения, поступившее в сеть связи, коммутационную систему, на вход ступени искания, в управляющее устройство с целью передачи или обслуживания сообщения- это
Ответы
1. вызов
2. сообщение
3. занятие
Что такое ЧНН
Ответы
1. час наибольшей нагрузки
2. число, показывающее наименьшую нагрузку
3. число, показывающее наибольшую нагрузку
Для чего используется приведенная ниже формула -
![]()
Ответы
1. для описания процессов обслуживания вызовов
2. для описания схемы системы распределения информации
3. для компактной записи математических моделей
Кто является основоположником Теории телетрафика
Ответы
1. Г.О,Делл
2. Т.Энгсет
3. А.Эрланг
Что позволяет определить формула первого распределения Эрланга
Ответы
1. i –ое состояние коммутационной системы, на которую поступает простейший поток вызовов
2. вероятность поступления i- вызовов на коммутационную систему
3. вероятность потери вызовов при обслуживании коммутационной системой простейшего потока вызовов
Определите , при каком значении k имеет место наибольшее значение вероятности
![]()
, если λt = 9
Ответы
1. k = 7
2. k =8 и k = 9
3. k = 9 Конец формы
Конец формы